מסחר באופציות קורץ לאנשים רבים בשל ההזדמנויות הרבות שהוא טומן בחובו. אלא שככל שקיימות הזדמנויות רבות יותר, כך גם הסיכונים גבוהים יותר. על מנת להיכנס לתחום יש להבין אותו לעומקו, תוך צלילה למודלים השונים להערכת שווי, יתרונותיהם וחסרונותיהם. כל מה שצריך הוא יכולת הבנה מתמטית ממוצעת וחושים חדים.
מסחר באופציות קורץ לאנשים רבים בשל ההזדמנויות הרבות שהוא טומן בחובו. אלא שככל שקיימות הזדמנויות רבות יותר, כך גם הסיכונים גבוהים יותר. על מנת להיכנס לתחום יש להבין אותו לעומקו, תוך צלילה למודלים השונים להערכת שווי, יתרונותיהם וחסרונותיהם.
מה זה אופציה?
אופציות הן אולי המכשיר הפיננסי המסוכן ביותר, אך מי שמתמחה בתחום יכול להרוויח סכומים גבוהים במיוחד בכל עסקה.
אופציה הינה הזכות אך לא החובה לבצע פעולה מסויימת בעלות קבועה מראש (מחיר המימוש) עד או בזמן ידוע:
- אופציית CALL
- הינה הזכות לקנות נכס במחיר מסויים עד או בזמן ידוע מראש.
- אופציית PUT
- הינה הזכות למכור נכס במחיר מסויים עד או בזמן ידוע מראש.
המשתנים המשפיעים על ערך אופציות
ערכן של אופציות מושפע מחמישה משתנים בסיסיים: 
- ערכו של נכס הבסיס
- ככל שמחירו של נכס הבסיס עולה ערכה של אופציית CALL עולה גם כן, במקרה של אופציית PUT המצב הוא הפוך.
- עלות המימוש
- כאשר מדובר באופציית CALL ככל שעלות המימוש גבוהה יותר ערך האופציה נמוך יותר. כאשר מדובר באופציית PUT המקרה הוא הפוך.
- משך הזמן עד לפקיעת האופציה
- ככל שמשך הזמן עד לפקיעת האופציה הוא ארוך יותר כך ערכה של האופציה גבוה יותר מכיוון שקיים סיכוי גבוה יותר שהאופציה תיכנס אל תוך הכסף.
- שונות נכס הבסיס
- ככל ששונות נכס הבסיס גבוהה יותר ערכה של האופציה גבוה יותר מכיוון שקיים סיכוי גבוה יותר שהאופציה תיתן ערך גבוה.
- גובה הריבית חסרת הסיכון
- ככל שהריבית חסרת הסיכון גבוהה יותר ערך אופציית CALL גבוה יותר ואילו ערך אופציית PUT נמוך יותר.
כמו כן יש להתחשב בדיבידנדים המחולקים במהלך התקופה על ידי נכס הבסיס ולעיתים יהיה כדאי לממש אופציה מוקדם יותר על מנת לזכות בדיבידנד.
מודלים להערכת אופציות
קיימים שלושה מודלים עיקריים להערכת אופציות:
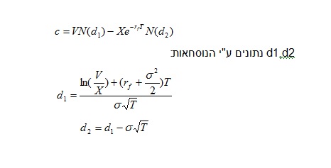
1. מודל Black-Scholes
המודל של Black Fischer & Myron Scholes הוא המודל המקובל ביותר. למעשה הוא מהווה מקרה פרטי של המודל הבינומי, והתנאים לנכונותו המתמטית למעשה כמעט ולעולם לא מתקיימים.
מאידך, מכיוון שזהו המודל הנוח ביותר, רוב השוק עובד לפיו ולכן המחירים מתכנסים סביב התוצאות שמתקבלות ממנו.
2. המודל הבינומי
המודל הבינומי הינו מודל פשוט לקביעת ערכה של אופציה אירופית טרם מועד פקיעתה. המודל מניח שני ערכים אפשריים בלבד - עלייה או ירידה במחיר נכס הבסיס.
בתום התקופה הראשונה מחיר המניה יהיה Su או Sd ושווי האופציה Cu או Cd. בתום התקופה השנייה יהיה מחיר המנייה Suu, Sdd או Sud ושווי האופציה Cuu, Cdd או Cdu.
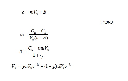
3. מודל ני""ע מקביל
שיטה זו מניחה שני ערכים אפשריים בלבד כאשר ערך אחד מייצג את ""המצב הטוב"" (u) והערך השני מייצג את ""המצב הרע"" (d).
המודל כולל משתנים כמו כמות המניות ב-Replicating Portfolio, כמות האג""ח, הריבית חסרת הסיכון, וההסתברויות לקבלת ערכים גבוהים או נמוכים.
אזהרה חשובה למשקיעים
⚠️ אזהרה:
אם ברצונכם לעסוק באופציות רצוי מאוד שתלמדו את התחום לעומק. חובבנים אשר נכנסים לתחום משמשים לא פעם טרף לכרישים.
מסחר באופציות דורש:
- הבנה מתמטית מעמיקה
- ידע בניתוח טכני ויסודי
- ניהול סיכונים מקצועי
- ניסיון מעשי מתחת להדרכה
- הבנת הפסיכולוגיה של השוק
המלצות ללימוד
הנכם מוזמנים לבחור ממגוון קורסי שוק ההון המוצעים באתר על מנת להכיר את תחום האופציות לעומק ולהימנע מטעויות יקרות.
לימוד נכון יכלול:
- הכרת המודלים המתמטיים
- תרגול על חשבון דמו
- הבנת אסטרטגיות מתקדמות
- ניהול תיק השקעות
- ליווי מקצועי
"